Pada kehidupan sehari hari sering sekali kita menggunakan singkatan dan akronim. Apakah mereka sama atau berbeda.
Bank Soal Matematika Kelas X Sma Sistem Persamaan Linear Tiga
Akan tetapi apakah akronim dan singkatan itu.
Sistem Persamaan Linear Tiga Variabel Spltv Catarina Dyah
Sistem Persamaan Linear Tiga Variabel Spltv Catarina Dyah
Penyelesaian Sistem Persamaan Linear Tiga Variabel Dengan
Soal Dan Pembahasan Pada Spldv Dan Spltv Ardi S Blog
Menentukan Penyelesaian Dari Sistem Persamaan Linear Tiga Variabel
Contoh Soal Spltv Dan Pembahasannya Brainly Co Id
Materi Matematika Kelas X Sma Sistem Persamaan Linear Tiga
Contoh Soal Spltv Beserta Jawabannya Buat Jalannya Brainly Co Id
Soal Dan Pembahasan Sistem Persamaan Linier Tiga Variabel 1 2
Soal Dan Pembahasan Sistem Persamaan Linier Tiga Variabel
5 Soal Dan Pembahasan Penerapan Sistem Persamaan Linear Tiga
Soal Spltv Kelas 10 Kumpulan Koleksi Pilihan Soal Dan Pembahasan
Latihan Soal Spldv Dan Spltv Rina
2 2 Contoh 3 Menyelesaikan Spltv Youtube
Contoh Soal Spltv Metode Eliminasi Kumpulan Koleksi Pilihan 3
Sistem Persamaan Linear Tiga Variabel
Sistem Persamaan Linear Tiga Variabel Spltv Bangkusekolah
Sistem Persamaan Linear Tiga Variabel Berbentuk Pecahan Youtube
41 Kumpulan Contoh Soal Cerita Spltv Beserta Penyelesaiannya
Berikan Contoh Soal Cerita Tentang Spltv Sistem Persamaan Linear
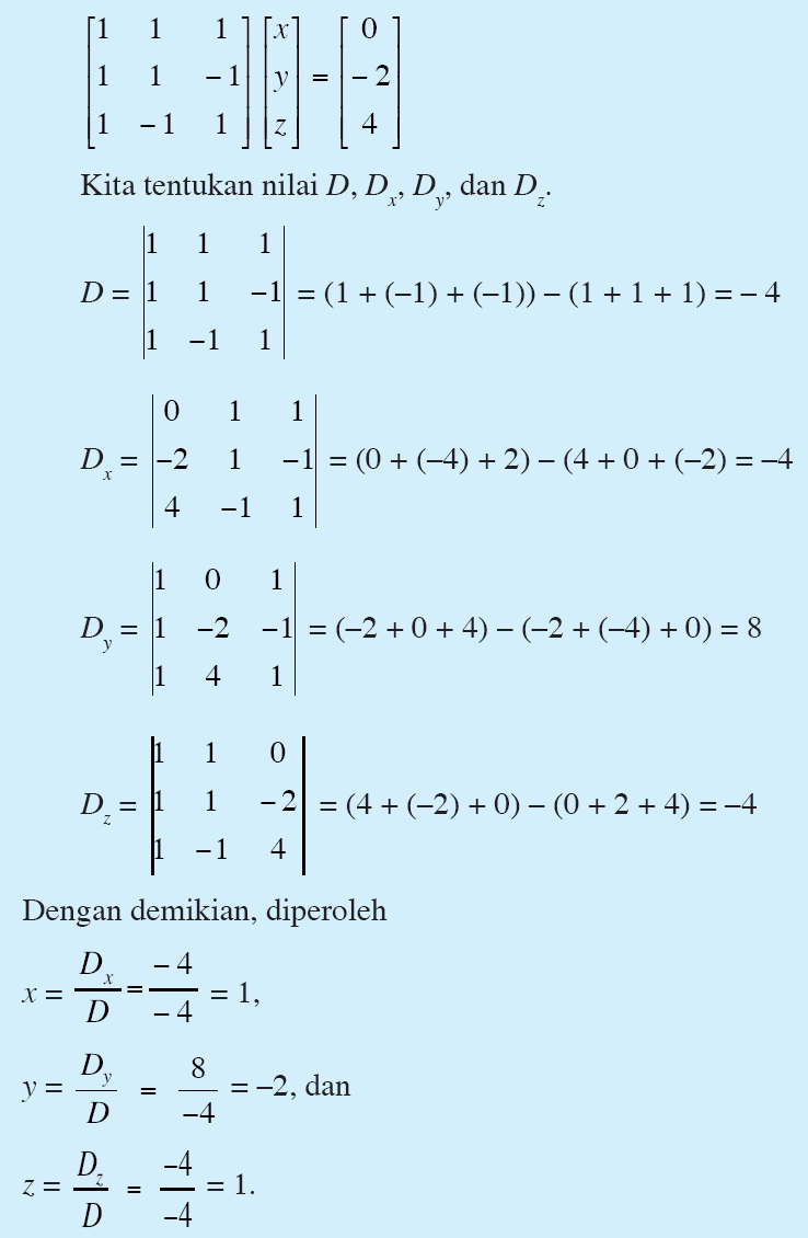
Menyelesaikan Sistem Persamaan Linear Dengan Determinan Contoh Dan
Cara Menyelesaikan Persamaan Linear Tiga Variabel Spltv Dengan
Sistem Persamaan Linear Tiga Variabel Spltv Contoh Soal Dan Cara
Sistem Persamaan Linear Dua Tiga Variabel Contoh Soal
Contoh Soal Cerita Spltv Beserta Penyelesaiannya Kumpulan Koleksi
Contoh Soal Cerita Program Linear Dan Pembahasan
Dinda Alnisara Menentukan Penyelesaian Dari Sistem Persamaan
Buatkan 1 Contoh Soal Sistem Persamaan Linear Tiga Variabel Beserta
Persamaan Linier Istana Mengajar
Tutorial Persamaan Linier Tiga Variabel Untuk Soal Cerita Youtube
Spltv Pengertian Materi Ciri Rumus Contoh Soal
Power Point Sistem Persamaan Linear Tiga Variabel
Contoh Soal Spltv Bersesta Jawabanya Brainly Co Id
Spldv Dan Spltv Pptx Powerpoint
Matematika Asix Penyelesaian Spltv
Spltv Metode Determinan Cramer Sistem Persamaan Linear Dua
Memilih Metode Yang Paling Cepat Dalam Menyelesaikan Spldv Madematika
Contoh Soal Dan Pembahasan Materi Spltv
Menyelesaikan Spl Dengan Matriks
Sistem Persamaan Linear Tiga Variabel Spltv Catarina Dyah
Spldv Spltv Spltv Cara Subtitusi Youtube
Contoh Soal Cerita Spltv Beserta Penjelsanya Brainly Co Id
Kumpulan Contoh Soal Dan Jawaban Spltv Sistem Persamaan Linear Tiga
Sistem Persamaan Linear Tiga Variabel
Soal Dan Pembahasan Sistem Persamaan Linear Tiga Variabel Kumpulan
Sistem Persamaan Linear Tiga Variabel Spltv Catarina Dyah
Sistem Persamaan Linear Tiga Variabel Dan Contoh Soal Penerapannya
2 2 Contoh 2 Menyelesaikan Spltv Dengan Substitusi Balik Youtube
Contoh Soal Cerita Sistem Persamaan Linear Tiga Variabel Libro
Contoh Soal Spltv Dengan Penyelesaian Cara Determinan Brainly Co Id
Persamaan Linear Tiga Variabel
Sistem Persamaan Linear Tiga Variabel
Soal Dan Pembahasan Sistem Persamaan Linear 1 2 Istana Matematika
Sistem Persamaan Linear Tiga Variabel Mudah Dan Jelas Youtube
Contoh Soal Spltv Metode Eliminasi Kumpulan Koleksi Pilihan Kelas
Soal Dan Pembahasan Sistem Persamaan Linear 1 2 Istana Matematika
Spltv Sistem Persamaan Linear Tiga Variabel
Latihan Soal Sistem Persamaan Linear Tiga Variabel Sistem
Ppt Sistem Persamaan Linear Tiga Variabel Powerpoint Presentation
Sistem Persamaan Linear Tiga Variabel
1 Contoh Soal Cerita Spltv Dan Penyelesaiannya Dalam Bentuk Matriks
Soal Dan Pembahasan Sistem Persamaan Linear Tiga Variabel Kumpulan
Contoh Soal Cerita Spltv Ibu Ira Membeli 5 Kg Telur 2 Kg Daging Dan
Soal Cerita Spltv Pekerjaan Bank Soal Matematika Sma Youtube
Contoh Cara Memecahkan Persamaan Linear Dengan Excel
Soal Cerita Spltv Metode Determinan Brainly Co Id
Contoh Soal Dan Pembahasan Spltv Metode Invers Matriks Blog Matematika
Spltv Metode Operasi Baris Elementer Obe Gauss Jordan Sistem
Pembahasan Latihan Soal Cpns 2018 Tes Intelegensi Umum Sistem
Soal Dan Pembahasan Sistem Persamaan Linear Tiga Variabel Kumpulan
Soal Sistem Persamaan Linear Tiga Variabel
Youtube Spltv Access Any すべて 検索結果動画一覧
Lks Cerita Bergambar Berbasis Etnomatematika Materi Spltv Sebagai
Un Sma Matematika 2017 Prediksi Pembahasan No 23 Persamaan Linear
20 Soal Persamaan Linear Tiga 3 Variabel Spltv Pdf Free Download
5 Macam Metode Menentukan Penyelesaian Spltv Contoh Soal Dan
Contoh Dan Penyelesaian Sistem Persamaan Linear Tiga Variabel
Tiga Variabel ฟร ว ด โอออนไลน ด ท ว ออนไลน คล ปว ด โอฟร
Contoh Soal Spltv Metode Eliminasi Kumpulan Koleksi Pilihan
Bab 3 Sistem Persamaan Linier Tiga Variabel Spltv
Bab Iv Hasil Pengembangan Dan Pembahasan
Menyelesaikan Spl Dengan Matriks
Soal Cerita Sistem Persamaan Linear Tiga Variabel Mudah Dan Jelas
4 Cara Mencari Himpunan Penyelesaian Spltv
Contoh Soal Cerita Spltv Tanya Soal
Contoh Soal Spltv Dalam Bentuk Subtitusi Brainly Co Id
Contoh Soal Cerita Spltv Beserta Penyelesaiannya Kumpulan Koleksi
Pertidaksamaan Nilai Mutlak Linear Satu Variabel Contoh Soal Free
Mat Peminatan Soal Cerita Spldv Dan Spltv Beserta Penyelesaiannya
Sistem Persamaan Linear Tiga Variabel
Sistem Persamaan Linear Tiga Variable Dengan Metode Eliminasi Youtube
Contoh Soal Dan Pembahasan Materi Spltv




