Contoh soal limit tak hingga dan jawabannya. Contoh soal limit matematika sebelum masuk kesoal lebih baik dibaca dulu rumus limit fungsi soal no.
Soal Limit Aljabar Pecahan Bentuk Akar Kelas X
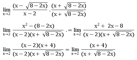
Limit pecahan yg penyebut dan pembilangnya itu semuanya akar fx misal.
Contoh soal limit akar. Contoh soal dan pembahasan bentuk pangkat dan akar materi matematika kelas x sma. Limit selisih akar dengan a c. Contoh soal limit trigonometri akar contoh soal limit trigonometri akar selasa 25 desember 2018 0049 informasi lowongan yang anda cari adalah contoh soal limit.
Kami yakin soal limit sudah hampir bisa. Soal limit aljabar dengan bentuk selisih akar gunakan ketentuan berikut. Limit x a lim x termasuk juga limit x 0 mulai dari yang mudah dulu tipe soal soal limit yang bisa diselesaikan dengan.
Contoh soal limit akar 3 berikut ini adalah informasi penting tentang contoh soal limit akar 3 yang bisa anda unduh secara gratis dengan menekan tombol download. Berikut contoh soal yang kami. Limit selisih akar dengan a c.
Untuk menghindari ini maka kita kalikan dengan sekawan. Limit selisih akar dengan a c sehingga. Kalau limit tak hingga soalnya 2 kali pengurangan contoh akar x kuadrat 1dikurangi akar4x kuadrat 3 dikurangi akar x kuadrat 3 gimana.
Pada limit bentuk akar biasanya dihasilkan 00. Contoh soal 1. Limit x a.
Contoh soal 2.
Belajar Limit Fungsi Aljabar Ikbalmatematika23
Kumpulan Soal Matematika Limit Akar Sekawan Gupak Com
Imath Menentukan Dan Menyelesaikan Masalah Tentang Limit Fungsi Aljabar
Soal Limit Bentuk Akar Dari Agmalyada Istana Matematika
Soal Dan Pembahasan Limit Tak Hingga Bentuk Akar 1 3 Istana
Cara Mudah Mengerjakan Soal Limit Fungsi Aljabar Bentuk Tak Tentu
Contoh Soal Matematika Limit Ida Blog
Limit Bentuk Akar Contoh 3 Youtube
Belajar Limit Fungsi Aljabar Ikbalmatematika23
Limit Matematika Dan Contoh Soal
Lh6 Googleusercontent Com Ndlpipicbu4 Vvk2ffdjufi
Satu Contoh Soal Tentang Perkalian Sekawan Limit Beserta Dengan
Contoh Soal Limit Dan Pembahasannya Nickyoktaviyaniblog
Rumus The King Limit Fungsi Aljabar Part 1 Belajar Tumbuh Berbagi
Soal Limit Fungsi Aljabar Pecahan Bentuk Akar Kelas X
Belajar Limit Fungsi Aljabar Ikbalmatematika23
5 Contoh Soal Limit Tak Hingga Dengan Penyelesaiannya Brainly Co Id
Trik Mengerjakan Soal Limit Fungsi Aljabar Bentuk Tak Tentu Oleh
Limit Fungsi Aljabar Nol Per Nol
Trik Mengerjakan Soal Limit Fungsi Aljabar Bentuk Tak Tentu Oleh Ucy
Limit Dengan Pemfaktoran Dan Perkalian Sekawan
Rumus Cepat Mengerjakan Limit Tak Hingga
Soal Dan Pembahasan Limit Fungsi Aljabar Dan Trigonometri 1 5
Cara Mengerjakan Soal Limit Tak Tentu Nol Per Nol King Of Science
Trik Mengerjakan Soal Limit Fungsi Aljabar Bentuk Tak Tentu Oleh
Limit Bentuk Tak Hingga Contoh Youtube
Limit Fungsi Trigonometri Contoh Soal Dan Cara Menghitung
Limit Fungsi Aljabar Hotma Purba Sman 3 Bungo
Belajar Limit Fungsi Aljabar Ikbalmatematika23
Soal Dan Pembahasan Limit Tak Hingga Bentuk Akar 1 3 Istana
Contoh Rpp Limit Fungsi Aljabar
41 Contoh Soal Limit Perkalian Akar Sekawan Contoh Perkalian Soal
Belajar Limit Fungsi Aljabar Ikbalmatematika23
Cara Cepat Limit Akar Rangkap Diatas Dan Bawah Youtube
Kumpulan Soal Limit Fungsi Trigonometri
Soal Bahas Limit Bentuk Akar Kali Sekawan Soalbahas Com
Math Soal Limit Fungsi Aljabar Dan Pembahasan Dengan Metode
Belajar Limit Fungsi Aljabar Ikbalmatematika23
Limit Dengan Pemfaktoran Dan Perkalian Sekawan
Soal Dan Pembahasan Limit Trigonometri 1 3 Istana Mengajar
Soal Limit Aljabar Pecahan Bentuk Akar Kelas X
Pelajaran Soal Rumus Limit Mengalikan Sekawan Wardaya College
Contoh Soal Limit Fungsi Trigonometri Aljabar Pembahasan
Cara Mencari Limit Tak Hinga Akar Pangkat Tiga Manual Dan Rumus
Soal Limit Bentuk Akar Dari Agmalyada Istana Matematika
40 Pilihan Contoh Soal Akar Persamaan Kuadrat Kumpuan Contoh Soal
Contoh Soal Limit Akar Pdf Pdf Document
Pelajaran Soal Rumus Limit Mengalikan Sekawan Wardaya College
Contoh Soal Penyelesaian Limit Dengan Menggunakan Akar Sekawan
Contoh Soal Limit Tak Hingga Dan Pembahasannya Contoh Soal Jawab
Contoh Soal Dan Pembahasan Merasionalkan Bentuk Akar Pecahan
Merasionalkan Penyebut Pecahan Bentuk Akar
Limit Aljabar Tak Hingga Akar Youtube
Limit Fungsi Aljabar Tak Terhingga
Cara Cepat Limit Akar Bank Soal Matematika Sma No 3 Youtube
Kumpulan Soal Limit Fungsi Trigonometri
Cinthia Intan Limit Fungsi Trigonometri
Trik Mengerjakan Soal Limit Fungsi Aljabar Bentuk Tak Tentu Oleh
Contoh Rpp Limit Fungsi Aljabar
Limit Fungsi Trigonometri Contoh Soal Dan Cara Menghitung
Limit Dengan Pemfaktoran Dan Perkalian Sekawan
Contoh Soal Limit Tak Hingga Bentuk Akar Soal Dan Pembahasan Limit
Kumpulan Soal Limit Fungsi Trigonometri
Contoh Soal Amp Jawaban Mengenai Operasi Penjumlahan Amp
Semester 2 Matematika Tkj4 Limit Fungsi
Tips Dan Trik Mengerjakan Soal Limit Aljabar Bentuk Tak Tentu Oleh
Kumpulan Soal Limit Fungsi Trigonometri
Bagaimanakah Cara Kalkulator Mencari Nilai Akar Kuadrat Suatu
Limit Dengan Pemfaktoran Dan Perkalian Sekawan
Contoh Soal Limit Dan Pembahasannya Otomotif Zone
Contoh Soal Limit Fungsi Aljabar Bentuk Akar Rumusrumus Com
Contoh Soal Limit Trigonometri Dan Penyelesaiannya Kumpulan Koleksi
Cara Cepat Limit Akar Diatas Youtube
Penyelesaian Limit Fungsi Aljabar Dengan Metode Perkalian Akar
Tutorial Cara Cepat Menghitung Limit Bentuk Akar Matematika Sma
Rumus Turunan Lengkap Beserta Contoh Rumus Matematika
Rumus The King Limit Fungsi Aljabar Part 1 Belajar Tumbuh Berbagi
Limit Fungsi Aljabar Tak Terhingga
Bab 7 Limit Dan Laju Perubahan Ppt Download
Soal Dan Pembahasan Bentuk Akar Kumpulan Koleksi Pilihan Soal Dan
Contoh Soal Dan Pembahasan Bentuk Akar Dalam Akar Kelas X Ipa
Matematika Contoh Soal Pertidaksamaan Bentuk Akar Youtube
Limit Dengan Pemfaktoran Dan Perkalian Sekawan
Cara Menyelesaikan Pertidaksamaan Irrasional Madematika
Contoh Soal Limit Trigonometri Tak Hingga Pdf Softco Pisoft
Cara Mudah Dan Singkat Mengerjakan Fungsi Limit Love Math
Materi Soal Dan Pembahasan Lengkap Limit Matematika I D D A







