Berisi kumpulan data dan informasi terkait berbagai topik materi sbmptn yang paling sering keluar pada soal soal sbmptn tahun tahun lalu. Oleh karena itu untuk lebih.
Rumus Integral Tak Tentu Dan Contoh Penyelesaian Genggam Internet
Pembahasan soal un matematika 2017.
Contoh soal integral. Soal sbmptn 2018 soal sbmptn 2017 prediksi soal sbmptn 2018 contoh soal sbmptn soal sbmptn pendaftaran sbmptn download soal sbmptn. Contoh soal dan penyelesaian nilai mutlak. Soal usbn 2017 yang paling banyak di.
Dalam artikel sebelumnya kita telah mempelajari bersama penjelasan lengkap konsep nilai mutlak. If you have already visited the site please help us classify the good from the bad by voting on this site. Excel gantt chart tutorial how to make a gantt chart in microsoft excel 2013 excel 2010 excel 2007 duration.
You have not yet voted on this site. Makalah dalam studi memang sangat penting dalam makalah menjelaskan tentang keseluruhan masalah dan solusi yang di ikuti dengan pengertian dan kesimpulannya. Silahkan masukkan kata kunci pencarian anda pada kotak di bawah ini.
Notasi sigma merupakan notasi yang digunakan untuk menyatakan penjumlahan bilangan. Ujian sekolah berstandar nasional atau usbn 20172018 menyebabkan banyak adik adik yang mencari soal usbn 2017 dan pembahasan. Naskah soal un fisika sma kisah hidup helen keller tentang keberanian dan perjuangan yang gigih dalam mengatasi kekurangan dan membantu orang lain.
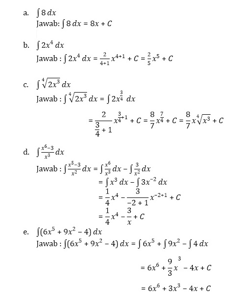
Ringkasan Materi Integral Dan Contoh Soal Sinau Matematika
Rangkuman Contoh Soal Dan Pembahasan Bab Integral
Pendidikan Contoh Soal Integral Dan Penyelesaiannya
Contoh Soal Dan Pembahasan Integral Subsitusi Brainly Co Id
Contoh Soal Integral Parsial Dan Penyelesaiannya By Gema Gema
Contoh Pembahasan Soal Integral Blognya Robimu
Contoh Soal Dan Pembahasan Integral Bentuk Eksponen Kalkulus
Jendela Pendidikan Contoh Soal Dan Pembahasan Integral Tak Tentu
Integral Trigonometri Un Matematika Sma
Menghitung Luas Daerah Kurva Dengan Integral Contoh Soal
Integral Fungsi Aljabar Dan Contoh Soal Part 1 Guru Sipil
Soal Dan Pembahasan Metode Substitusi Integral Fungsi Aljabar 1 5
Contoh Contoh Soal Dan Pembahasan Integral
Contoh Contoh Soal Dan Pembahasan Integral Untuk Sma Doc Contoh
Pengertian Integral Dan Integral Tak Tentu Situs Matematika Dan
Contoh Soal Matematika Integral Ida Blog
Contoh Soal Un Matematika Sma Integral Fungsi Aljabar
Integral Tentu Contoh Soal Dan Pambahasan Mathematics
Belajar Rumus Integral Tak Tentu Beserta Contoh Soal Serta Cara
Soal Integral Matematika Dan Jawaban Lengkap Soal Sbmptn 2019 Dan
Contoh Soal Integral Partial Dan Pembahasannya Pdf To Jpg
Soal 125 Integral Tak Tentu Dan Tentu Soal Jawab Matematika
Contoh Soal Dan Pembahasan Integral Lipat 2
Contoh Soal Integral Tentu Tak Tentu Substitusi Parsial Trigonometri
Rumus Integral Pola Soal Dan Pembahasan
Soal Dan Jawaban Integral Tak Tentu No 1 6 Gema Private Solution
Contoh Penyelesaian Soal Integral Dengan Teknik Substitusi
Penyelesaian Integral Substitusi Dan Integral Parsial Situs
Contoh Soal Integral Partial Dan Pembahasannya Pdf Creator Earthcrise
Pelajaran Soal Rumus Integral Wardaya College
Memahami Macam Macam Integral Rumus Matematika
Contoh Soal Integral Parsial Blognya Anak Matematika
Rumus Integral Trigonometri Dan Penyelesaian Genggam Internet
Contoh Contoh Soal Dan Pembahasan Integral Untuk Sma
Integral Dengan Substitusi Aljabar Kelas Xii
Contoh Soal Dan Pembahasan Tentang Integral Youtube
Integral Tak Tentu Belajar Matematika Online
Contoh Soal Dan Pembahasan Integral Bentuk Eksponen Kalkulus
Contoh Soal Integral Tentu Beserta Cara Penyelesaianya Lt Br Gt
Integral Antidiferensial Belajarmeyenangkan
Integral Kalkulus Rumus Dasar Kelas Xii Sma
Konsep Dan Pembahasan Soal Integral Tak Tentu Vt Math Youtube
Rumus Integral Substitusi Dan Rumus Integral Parsial
Dokumen Tips Contoh Soal Dan Pembahasan Integral Lipat 2 Contoh
Soal Soal Integral Tak Tentu Kumpulan Koleksi Pilihan Contoh Soal
Integral Tak Wajar Kalkulus Ii Kelompok 1
Contoh Soal Integral Partial Dan Pembahasannya Pdf To Word Crisemood
Materi Matematika Kelas Xi Semester 2 Bab Vi Integral
Rumus Volume Benda Putar Dan Contoh Soal
Integral Lipat Tiga Bentuk Umum Ppt Download
Integral Tertentu Super Matematika
Contoh Soal Integral Lintasan Kompleks Dan Pembahasan
Soal Soal Integral Tentu Kumpulan Koleksi Pilihan Education
Integral Lipat Dua Bentuk Umum Ppt Download
Ppt Integral Powerpoint Presentation Id 2090479
Pembahasan Persoalan Integral Ayo Belajar
Integral Lipat 2 Kalkulus 2 Youtube
Contoh Soal Integral Tak Tentu Izza A R
Contoh Soal Dan Pembahasan Integral Bentuk Eksponen Kalkulus
Contoh Contoh Soal Dan Pembahasan Integral
Pelajaran Soal Rumus Integral Parsial Wardaya College
Download Soal Dan Pembahasan Integral Pdf
Contoh Soal Integral Teknik Mesin Fapolbroker S Diary
Herunterladen Contoh Soal Integral Substitusi Verdimaso
Contoh Soal Dan Pembahasan Integral Youtube
Contoh Contoh Soal Dan Pembahasan Integral Untuk Sma Sma 1 Contoh
Contoh Soal Integral Tak Tentu Bentuk Akar Brainly Co Id
10 Contoh Soal Integral Tak Tentu Rumusrumus Com
Contoh Soal Integral Parsial Pdf Linoapussy
Integral Trigonometri Fungsi Beserta Contoh Soal Dan Jawaban
Pelajaran Soal Rumus Integral Fungsi Pecahan Wardaya College
Contoh Soal Integral Ganda Ppt Download
Soal Integral Substitusi Bentuk Akar Kelas Xii Ipa
Contoh Soal Integral Parsial Dan Jawabannya Kumpulan Koleksi
Soal Dan Pembahasan Integral Tertentu Fungsi Trigonometri 1 4
Integral Substitusi Integral Parsial Materi Rumus Contoh Soal
Integral Trigonometri Integral Tak Tentu Belajar Matematika
Contoh Soal Dan Pembahasan Integral Trigonometri
Kalkulus Contoh Soal Integral Dengan Pemfaktoran Pecahan Youtube
Contoh Soal Integral Partial Dan Pembahasannya Pdf
Integral Luas Daerah Antara Dua Kurva Latihan Matematika Dan
Baixar Contoh Soal Integral Tertentu
Contoh Soal Dan Pembahasan Integral Bentuk Eksponen Kalkulus
Contoh Soal Integral Parsial Dan Jawabannya Trigonometri Lostken
Contoh Soal Integral Contoh Soal Carapedia
Rumus Integral Dan Tabel Integral Kalkulus Contoh Soal Dan Jawaban
Matematika Smk Integral Kelas Semester Iii 5 Persiapan Ujian
Integral Substitusi Integral Parsial Materi Rumus Contoh Soal
Contoh Soal Integral Tak Tentu Izza A R
Contoh Soal Integral Substitusi Dan Penyelesaiannya Kumpulan
Integral Tak Tentu Dan Integral Tentu





